Formula Polaček-Hinčin - zadatak

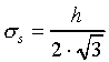
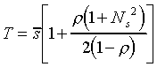
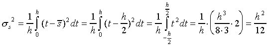
Za Poasonov proces prispeća zahteva prosečan interval između dva prispeća zahteva je . Ako je vreme opsluživanja ravnomerno raspodeljeno između 0 i h, naći srednje vreme boravka zahteva u sistemu.

Primenom formule Polaček-Hinčin: